6 年
手机商铺
公司新闻/正文
436 人阅读发布时间:2023-10-26 17:28
Sengenics重磅推出i-Ome Discovery平台,提供超过1,800种疾病相关的自身抗原

小备本周为大家带来的文章来自Sengenics官网:通过蛋白芯片评估RA患者自身抗体对瓜氨酸化免疫组蛋白的反应。
类风湿性关节炎(RA)是一种慢性炎症性疾病,主要影响关节,造成关节肿胀疼痛,最终可能导致关节变形和侵蚀。这是一种自身免疫性疾病,意味着人体的免疫系统会错误地攻击自身组织。这种疾病影响着全球1%的人口,由于致残症状和并发症的增加,很大程度地降低了人们的生活质量。此外,由于相关的医疗费用和可能导致残疾从而丧失工作能力,RA 还造成了巨大的经济负担。了解RA的发病机制可以开发出缓解症状、阻止疾病进展和降低相关健康风险的新疗法。
Technology background技术背景
重组蛋白表达是临床诊断、药物发现和筛选、疫苗开发和纯研究阐明疾病发生和发展机制的基础。但是,高通量生产折叠正确、功能正常的全长人类蛋白质的失败率非常高。蛋白质折叠是一个非常复杂的过程,需要结合水环境、伴侣、翻译后修饰以及通过共价键连接在一起的多聚体结构的形成。任何偏离正确顺序的行为都会导致蛋白质折叠错误。蛋白质功能的丧失与错误折叠直接相关。使用折叠错误的蛋白质可能会导致在下游检测和相互作用研究中识别出假阳性生物标记物。
Sengenics KREX技术利用生物素羧基载体蛋白 (BCCP) 作为折叠标记和溶解度增强剂,从而实现了全长、正确折叠和功能性蛋白质的一致、高通量表达。BCCP蛋白融合体能够在体内或体外进行生物素化,从而利用高度特异性的生物素-链霉亲和素相互作用进行表面捕获。由于与链霉亲和素涂层表面结合的生物素化蛋白质的解离度可以忽略不计,因此这种相互作用为将蛋白质拴系到平面表面提供了一种非常优越的方法,是蛋白质微阵列、玻璃微滴定板、SPR和基于磁珠的检测等应用的理想选择。
除了产生针对外来分子的抗体外,免疫系统还会在许多病理过程中产生针对自身抗原的抗体。据认为,自身抗体是通过过度表达、突变、受损组织释放蛋白质、蛋白质的错误折叠或错误表达而产生的,这导致了免疫系统对它们的识别。与其他血清学靶标不同,自身抗体稳定、特异性强、易于从血清中纯化,并可使用有效的辅助试剂进行检测。由于自身抗体在免疫系统中固有的放大作用,它们的数量相对较多,使用KREX平台很容易就能检测到,而且灵敏度极高,是疾病早期诊断的理想之选。
瓜氨酸化是精氨酸侧链的一种翻译后修饰,由肽基精氨酸脱氨酶(PAD)催化。这会导致蛋白质结构、抗原性和功能发生变化。利用KREX技术,我们开发了一个完全定量的蛋白质阵列平台,可同时筛选数千种蛋白质,以了解不同疾病的自身抗体反应。由于表面上的所有蛋白质都是正确折叠且具有功能性的,因此可以对这些蛋白质进行翻译后修饰,如瓜氨酸化。这就为自身抗体生物标记物的发现提供了一种高度可靠的方法,尤其适用于类风湿性关节炎、红斑狼疮、多发性硬化症和阿尔茨海默氏症等疾病。
瓜氨酸化案例研究
研究设计:研究的总体目标是利用类风湿关节炎(RA)患者的血清样本,在免疫组蛋白阵列上鉴定瓜氨酸化蛋白质的已知和新型自身抗体反应。第一个目标是在Sengenics Immunome 蛋白阵列上将蛋白质表面的精氨酸基团酶促转化为瓜氨酸基团。肽基精氨酸脱氨酶(PAD)2和4在蛋白质阵列上孵育,将精氨酸基团酶促转化为瓜氨酸基团。然后将 Sengenics Immunome蛋白阵列与抗瓜氨酸抗体和荧光标记的检测抗体一起孵育,以检测瓜氨酸基团。该研究的第二个目的是在瓜氨酸蛋白阵列上鉴定RA患者的集合血清和匹配健康对照组的集合血清的已知和新型自身抗体反应,以鉴定RA特异性特征自身抗体。在这项检测中,蛋白质阵列先与PAD2或PAD4孵育,然后与RA患者的集合血清和匹配健康对照组的集合血清孵育,以捕获和鉴定RA特异性自身抗体。
研究目的 1:Sengenics 免疫组蛋白阵列上检测瓜氨酸化蛋白质
Results
结果表明,1131/1622(70%)和1183/1622(73%)免疫组蛋白分别被PAD4和PAD2瓜氨酸化,与未修饰的免疫组蛋白相比,强度明显更高。分析还显示,708个瓜氨酸化蛋白质在两种酶类型之间重叠。
研究目的 2:确定RA中针对瓜氨酸蛋白的已知和新型自身抗体生物标记物
Results
用PAD2进行瓜氨酸化:在确认蛋白质瓜氨酸化后,用经过PAD2处理的免疫组蛋白阵列筛选汇集的 RA 患者血清和汇集的匹配健康对照组血清。对两组患者的差异分析发现,已知的与RA相关的瓜氨酸化蛋白(如SSB、VIM 和 HRN)的自身抗体反应升高:SSB、VIM和HRNRPA2B1(图 3)。

Fig.3 所有汇集的RA血清(蓝色)和汇集的健康血清(绿色)中SSB、VIM和HRNRPA2B1的自身抗体图谱,每组PAD2浓度不同:从左到右依次为1μg/ml、2μg/ml和0μg/ml。y轴代表不同样品中每种蛋白质4个复制点之间的平均相对荧光单位(RFU)。
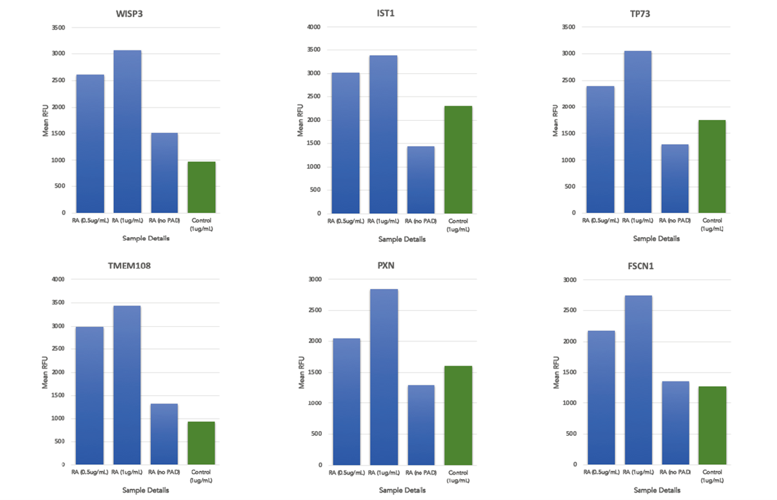
用 PAD4 进行瓜氨酸化:在确认蛋白质瓜氨酸化后,用PAD4处理过的免疫组蛋白阵列筛选汇集的RA患者血清和汇集的匹配健康对照血清。对这两组血清进行差异分析后发现,在汇集的RA患者血清中存在潜在的新型瓜氨酸化蛋白质自身抗体生物标记物,而在非瓜氨酸化蛋白质阵列("无PAD")中未检测到这些生物标记物(图 4)。

Fig.4 针对6种新型瓜氨酸化抗原(WISP3、IST1、TP73、TMEM108、PXN 和 FSCN1)的自身抗体图谱,这些抗原分布于RA血清(蓝色)和健康血清(绿色)中不同浓度的PAD4,对于RA血清,从左至右:0.5μg/ml、1μg/ml和0μg/ml,健康对照血清:1μg/ml。y 轴表示不同样本中每种蛋白质的4个复制点之间的平均相对荧光单位(RFU)。
Conclusion
利用PAD2和PAD4酶将原生蛋白翻译后修饰为瓜氨酸化蛋白的能力已在Sengenics免疫组蛋白阵列平台上得到成功验证。目前的研究是对瓜氨酸化蛋白质(n > 1000)进行的最大规模的调查,用于量化人类血清中的自身抗体复合物,特别是探索从 RA 患者身上收集的血清。考虑到翻译后修饰蛋白(如瓜氨酸化、磷酸化、氧化等)在多种疾病中的作用,这项研究是非常有益的。
详见LabEx网站或来电咨询!
基因水平:PCR Array、RT-PCR、PCR、单细胞测序
蛋白水平:MSD、Luminex、CBA、Antibody Array、ELISA、Sengenics、Elispot、IsoPlexis、Olink
细胞水平:细胞染色、细胞分选、细胞培养、细胞功能
组织水平:多重荧光免疫组化、免疫组化、免疫荧光
数据分析:流式数据分析、组化数据分析、多因子数据分析
联系电话:4001619919
联系邮箱:labex@u-labex.com
公众平台:多因子实验服务专家