6 年
手机商铺
公司新闻/正文
379 人阅读发布时间:2023-10-12 09:43

前列腺癌是男性常见的癌症之一,而免疫治疗一直是医学界关注的焦点。小备本周给大家分享的文章是约翰霍普金斯医院进行了一项重要的研究,探讨了一种名为恩奥布利单抗的单克隆抗体在前列腺癌治疗中的潜力。这项研究不仅提供了令人振奋的结果,还深入分析了多个生物标志物和免疫响应,为前列腺癌治疗领域带来了新的希望。
在这项关于恩奥布利单抗在前列腺癌治疗中的研究中,使用了多种技术进行筛选和验证,以深入了解药物的效果和作用机制。以下是这些技术的详细讲解:
1、TCR-β CDR3区域分析:这项技术通过测序分析T细胞受体(TCR)的β链的互补决定区域(CDR3),可以识别和量化每个独特TCR-β CDR3区域的绝对丰度。这允许研究人员了解在治疗过程中T细胞克隆的动态变化,以及哪些克隆与药物治疗相关。
2、外周克隆动态分析:这项分析评估了外周克隆(T细胞克隆)的动态变化。它比较了治疗前和治疗后样本中的克隆数量,以确定哪些克隆在治疗后扩展或缩小。这有助于了解免疫系统如何响应药物治疗。
3、血清细胞因子和可溶性蛋白分析:通过定制的Luminex分析,研究人员测量了血清中多种细胞因子、趋化因子和可溶性蛋白的水平。这些分析有助于确定药物治疗对免疫系统的影响,以及是否存在与治疗响应相关的生物标志物。
4、TME的RNA表达分析:通过对前列腺组织中的RNA进行基因表达分析,研究人员可以了解肿瘤微环境(TME)中基因的表达情况。这项技术有助于揭示药物如何影响肿瘤细胞和免疫细胞之间的互动。
5、TME的数字空间蛋白质分析:利用GeoMx DSP技术,研究人员在前列腺组织切片中进行了数字空间蛋白质分析。这项技术可以同时观察多种蛋白质的分布和表达,以了解药物治疗对TME中蛋白质的影响。
这些技术的综合使用允许研究人员从多个角度全面评估恩奥布利单抗在前列腺癌治疗中的效果和机制。通过深入分析TCR-β、细胞因子、RNA表达和数字空间蛋白质,研究提供了更全面的了解,有望为前列腺癌免疫治疗的未来发展提供重要的指导。这些技术的结合为研究人员提供了有关药物治疗的全面信息,从而更好地理解其潜在作用和机制。
此外这项关于恩奥布利单抗在前列腺癌治疗中的研究提供了令人兴奋的发现,同时也提供了关于该药物在患有高危前列腺癌的男性患者中的潜在价值的重要见解。通过采用多种先进技术进行全面分析,研究人员不仅证实了恩奥布利单抗的安全性,还揭示了其潜在的治疗效果和作用机制。
通过TCR-β CDR3区域分析,我们了解到恩奥布利单抗治疗后T细胞克隆的动态变化,这表明免疫系统的活性增强可能与药物治疗相关。外周克隆动态分析进一步支持了这一观点,显示出一些克隆在治疗后扩展,这可能是对抗前列腺癌的免疫反应的标志。
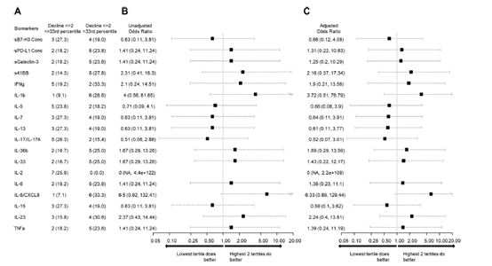
血清细胞因子和可溶性蛋白分析揭示了在治疗过程中发生的免疫系统变化。这些细胞因子和蛋白质的水平变化可能与药物治疗的免疫激活和抗肿瘤效果相关,为进一步的研究提供了线索。研究分析了多个细胞因子和可溶性蛋白的水平,包括可溶性B7-H3、可溶性PD-L1、可溶性galectin-3、可溶性4-1BB、IFN-γ、IL-2、Il-1b、IL-5、IL-7、IL-13、IL-17、IL-36b、IL-33、IL-6、IL-8、IL-15、IL-23以及肿瘤坏死因子(TNF)-α。这些分子在免疫治疗和前列腺癌的研究中具有重要的生物学意义。


对TME的RNA表达和数字空间蛋白质分析提供了有关肿瘤微环境的深入了解。这些分析显示,在药物治疗后,肿瘤组织中的基因表达和蛋白质分布发生了变化,这可能有助于解释恩奥布利单抗的抗肿瘤机制。GeoMx DSP(Digital Spatial Profiling)技术是数字空间多组学的一种应用。它允许研究人员在组织切片上同时检测多个蛋白质和RNA标志物的表达,并确定它们在组织中的空间分布。这种技术使用荧光标记的抗体或探针来标记目标分子,并通过高分辨率成像来确定它们的位置。在这项研究中,使用了GeoMx DSP技术对来自活检(治疗前)和前列腺切除术(治疗后)的整个切片组织样本进行了分析。这意味着研究人员能够在组织中选择感兴趣的区域,并对这些区域中的生物标志物进行详细的分析。


综合而言,这项研究为前列腺癌免疫治疗领域提供了重要的见解和数据,为该药物在临床实践中的应用提供了支持。尽管这些发现令人鼓舞,但需要进一步的大规模随机研究来验证这些结果,并确定恩奥布利单抗在前列腺癌治疗中的确切角色。随着更多的研究和数据的积累,我们可以期待看到更多关于该药物在前列腺癌治疗中的发展和应用的信息,这将有望改善前列腺癌患者的治疗前景。
相关文章
详见LabEx网站( www.u-labex.com)或来电咨询!
基因水平:PCR Array、RT-PCR、PCR、单细胞测序
蛋白水平:MSD、Luminex、CBA、Antibody Array、ELISA、Sengenics、Elispot、IsoPlexis、Olink
细胞水平:细胞染色、细胞分选、细胞培养、细胞功能
组织水平:多重荧光免疫组化、免疫组化、免疫荧光
数据分析:流式数据分析、组化数据分析、多因子数据分析
联系电话:4001619919
联系邮箱:labex@u-labex.com
公众平台:多因子实验服务专家
