6 年
手机商铺
公司新闻/正文
362 人阅读发布时间:2022-11-02 11:11
A: 小备,我的样本在-80°条件中保存三年了,还能用于因子检测吗?
小备: 你好,因为这个样本保存确实时间有点长,对某些因子的检测可能会有影响。
A: 好的,那有没有具体的参考数据?
小备: 有的,这是保存时间对因子的影响,从图中可以看出保存一年对大多数因子基本没有影响,但是三年的话,大多数因子明显降解,例如IL-1、IL-6、IL-17、CXCL8等。

DOI: 10.1186/1471-2172-10-52
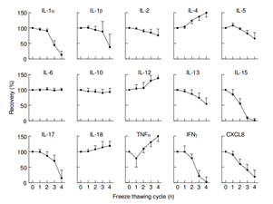
A: 好的,谢谢小备,看来以后样本还是得尽早进行实验,对了,那冻融次数对因子检测的影响呢?
小备: 这是冻融次数对因子检测的影响哈,可以看出冻融一次对因子的影响很小,三次已经大多数因子受到影响,四次甚至已经降到最低,例如IL-1、IL-15、IL-17、CXCL8等。

DOI: 10.1186/1471-2172-10-52
A: 小备描述的好详细啊,谢谢小备!
小备: 不客气哈!有什么问题欢迎来交流哈。
