国产自主研发的ADC新药——SHR-A1811(瑞康曲妥珠单抗,商品名艾维达)。它是一种抗体偶联药物,由抗HER2单抗曲妥珠单抗借助可裂解连接子,与拓扑异构酶I抑制剂有效载荷巧妙结合而成。在众多接受过大量治疗的、HER2表达或突变的晚期实体瘤患者身上,该药物展现出了卓越的抗肿瘤活性。
2026年3月19日,中山大学孙逸仙纪念医院团队于《Signal Transduction and Targeted Therapy》期刊发表了一篇题为“SHR-A1811, a novel HER2-targeting antibody-drug conjugate, in advanced solid tumors (HORIZON-X): a global phase 1 trial”的临床研究论文。
这项全球多中心、第一次人体开展的1期临床试验结果表明,对于那些已经历大量前期治疗的晚期实体瘤(涵盖乳腺癌、胆道癌、尿路上皮癌)患者,SHR-A1811不仅具备长期疗效,还拥有良好的安全性,进一步凸显了其作为有效HER2靶向治疗药物的巨大潜力。
人类表皮生长因子受体 - 2(HER2)属于关键的酪氨酸激酶受体范畴,在细胞增殖、分化以及存活等生理过程中所涉及的众多信号通路里,扮演着举足轻重的调节角色。HER2一旦出现异常激活,便会与多种实体瘤的发病机制产生关联,正因如此,它成为了癌症治疗领域中极为重要的靶点。
近年来,靶向HER2的药物研发成果丰硕,多种药物(涵盖单克隆抗体、酪氨酸激酶抑制剂以及抗体偶联药物)相继获得临床批准,并应用于HER2过表达或发生突变的实体瘤(以乳腺癌为主)的治疗,取得了令人瞩目的重大进展。其中,抗体偶联药物(ADC)作为一种不断革新发展的治疗策略,巧妙地将单克隆抗体所具备的靶向特异性与化疗药物的细胞毒性相结合,为针对HER2突变或过表达的癌细胞,实现强效药物的选择性递送提供了一种极具潜力的靶向治疗方法。
在抗HER2 ADC领域,德曲妥珠单抗(T - DXd)的开发堪称一项具有开创性意义的重大成果。它由靶向HER2的单克隆抗体曲妥珠单抗与一种强效的拓扑异构酶I抑制剂偶联而成。目前,T - DXd已获批用于治疗多种经过大量治疗的疾病患者,包括不可切除或发生转移的HER2阳性或低表达乳腺癌、HER2突变的非小细胞肺癌、HER2阳性胃癌或胃食管交界腺癌,以及不可切除或转移性HER2阳性实体瘤患者。这一获批标志着HER2靶向治疗实现了从乳腺癌领域向非乳腺癌领域的重要拓展,是该领域发展进程中的一个关键里程碑。
然而,尽管ADC治疗领域取得了上述诸多进展,但依然面临着一些不容忽视的挑战与局限性。其中,ADC相关间质性肺病潜在的致命风险问题尤为突出,值得高度关注。此外,耐药机制的出现,也成为了阻碍各种实体瘤实现持久响应的一大重大障碍。因此,有效解决这些局限性问题,对于进一步优化抗HER2 ADC的临床应用而言,具有至关重要的意义。
SHR - A1811(瑞康曲妥珠单抗)作为一种新型的ADC药物,由靶向HER2的曲妥珠单抗借助可裂解连接子,与拓扑异构酶I抑制剂有效载荷SHR169265偶联而成。临床前研究结果表明,SHR169265在膜通透性以及细胞杀伤效力方面,均优于德曲妥珠单抗(T - DXd)中所使用的有效载荷。不仅如此,SHR - A1811能够持续对HER2依赖性肿瘤生长产生抑制作用,具备更强的旁观者效应以及出色的稳定性,其有效载荷释放率低于1%。适中水平(药抗比为6)以及循环中释放的极少量毒素,共同彰显了SHR - A1811良好的安全性。在局部晚期或早期HER2阳性乳腺癌的新辅助治疗,以及晚期非小细胞肺癌的二线治疗中,SHR - A1811均展现出了令人鼓舞的疗效以及良好的安全性特征。目前,多项正在开展的临床试验正致力于探索其在更广泛肿瘤适应症中的治疗潜力。
在这项具有开创性的全球多中心1期临床试验中,研究团队聚焦于首次在人体开展相关研究。试验期间,从38家医院精心招募了符合特定条件的患者,这些患者年龄需达到或超过18岁,患有不可切除、处于晚期或已发生转移的HER2表达或突变的实体瘤,并且对标准疗法存在耐药或不耐受的情况。
在给药方案上,SHR - A1811以1.0至8.0毫克/千克的剂量,通过静脉注射的方式,每三周给药一次。试验的主要关注点,即主要终点,涵盖了剂量限制性毒性、安全性以及推荐的2期临床试验剂量这几个关键方面。
试验的时间跨度从2020年9月7日持续至2024年6月4日,在此期间,共有396名患者接受了SHR - A1811的治疗。这些患者此前均已尝试过2 - 4种不同的治疗方案。截至2025年3月12日,针对不同类型患者进行了不同时长的随访观察:HER2阳性乳腺癌患者的中位随访时间为17.1个月;HER2低表达乳腺癌患者的中位随访时间为10.6个月;非乳腺癌患者的中位随访时间则在4.3至8.2个月之间。从安全性角度来看,其特征与之前的相关报告保持一致。具体而言,有261名患者(占比65.9%)出现了3级或更高级别的治疗相关不良事件,10名患者(占比2.5%)出现了任何级别的间质性肺病。
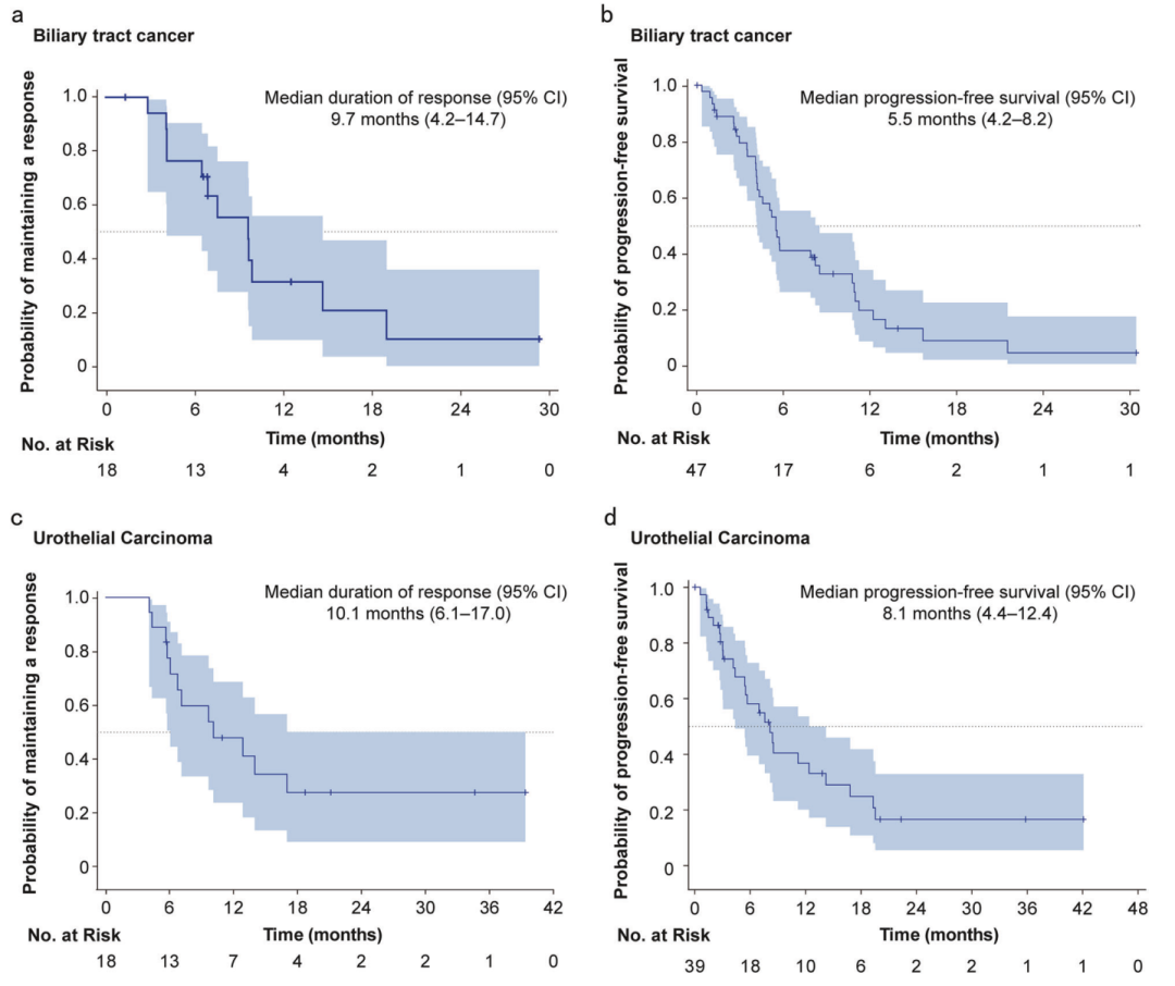
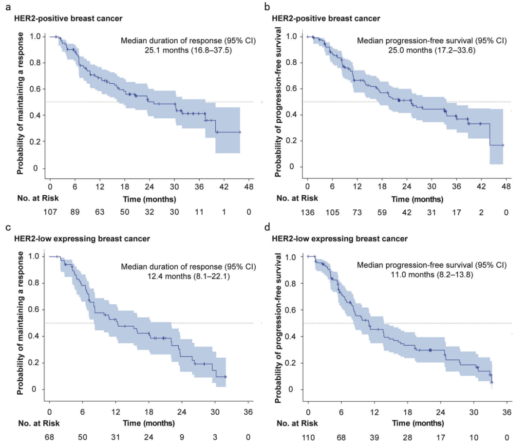
在疗效方面,不同类型患者的中位无进展生存期存在差异:HER2阳性乳腺癌患者的中位无进展生存期达到了25.0个月;HER2低表达乳腺癌患者的中位无进展生存期为11.0个月;非乳腺肿瘤患者的中位无进展生存期在3.5至17.2个月不等。
乳腺癌患者无进展生存期和缓解持续时间
非乳腺癌患者的无进展生存期和缓解持续时间
总体而言,这项首次在人体开展的1期临床试验的最终分析结果,进一步有力地证实了SHR - A1811在治疗HER2表达和HER2突变实体瘤患者方面所具备的潜力,它有望成为一种高效且安全的治疗选择。凭借其良好的安全性,再加上在多种实体瘤治疗中展现出的令人鼓舞的疗效,SHR - A1811无疑成为了HER2靶向治疗领域中极具希望的替代方案。




