6 年
手机商铺
公司新闻/正文
410 人阅读发布时间:2022-12-19 14:14

背景:阿尔茨海默病(AD)脑病理生理改变的在体检测是准确诊断的关键。脑脊液(CSF)和淀粉样蛋白和tau的正电子断层扫描生物标志物可以准确地诊断AD患者,但由于相关的成本、侵入性或所需工具的不可用性,在临床实践中使用有限。非侵入性的基于血液的生物标记物可以提供一种更吸引力的检测替代方法,可能受益于患者避免进一步,更具侵入性和/或更昂贵的诊断。基于血液的生物标志物神经微丝(NfL)蛋白和p-tau181为AD诊断提供了希望。NfL血液水平已经被提议作为突触损伤和神经元损伤的生物标志物,它还与认知能力下降和神经退行性疾病的神经退行性变有关。同时p-tau181最近被报道在临床诊断和bio marker证实的AD痴呆中均增加。此外,它可以预测疾病进展和认知功能未受损的参与者和MCI患者的认知能力下降。
目的:我们的目的是测试血浆NfL和血浆p-tau181水平的能力,或两者的组合,作为基于血液的生物标志物,用于脑AD病理诊断和临床疾病进展的预测。
研究人群:2014年至2018年,在瑞士洛桑大学医院精神科和临床新科学部的记忆诊所招募了221名49岁至88岁的个体,参加了一项AD生物标志物发现研究,所有参与者都进行了全面的临床评估和神经心理学评估。使用综合测试和标准问卷来确定临床痴呆评级(CDR)、CDR框和(CDRSoB)、迷你精神状态(MMSE),并验证亚组纳入标准。认知障碍组(CI)包括临床诊断为轻度认知障碍(MCI [16], n = 56)或痴呆(n = 71)且CDR评分≥0.5[14]的患者。认知正常的参与者(CN)没有相关的急性精神或神经疾病,目前没有认知障碍,也没有认知障碍史,CDR = 0。收集受试者的血液、脑脊液以备后续检测。
结果:
1、队列分析
基于基线的认知状态以及AD CSF生物标志物、生化指标和血浆NfL和p-tau181水平,通过组比较得出的受试者特征和认知评估平均值。CN患者血浆NfL和p-tau181水平均与年龄呈正相关(spearman 's rho = 0.602和0.249),而CI患者血浆NfL水平与年龄和受教育年限(rho = 0.363和- 0.243) 呈负相关,p-tau181与载脂蛋白e ε4状态(rho =0.223)呈正相关。血浆NfL和血浆p-tau181均与Qalb无关。此外,Nfl水平与CDR, CDRSoB和MMSE评分相关(rho = 0.307, 0.44和−0.295)。
2、血浆NfL和p-tau181水平与AD的相关性
在有脑AD病理(由AD脑脊液谱显示)的CN患者中,血浆NfL水平显著较高非AD的CI患者与CN非AD参与者进行比较(图1a)。与CI非AD患者以及AD和非AD的CN参与者相比,有AD的CI参与者的血浆p-tau181水平显著升高(图1b)。在CN或CI参与者中,AD和非AD亚组之间的海马体积没有显示出显著差异。

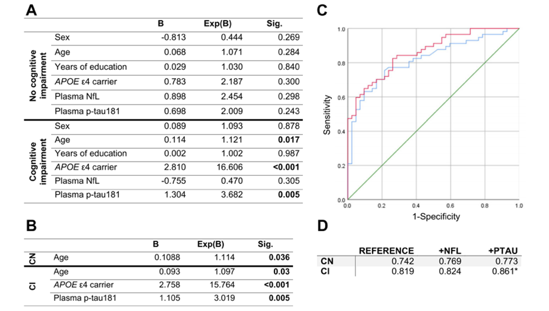
在CI组中,年龄、性别或受教育年限均无显著差异。在回归模型中考虑以下协变量时,年龄、性别、受教育年限和载脂蛋白e ε4状态仅p-tau181水平与CI参与者的AD病理相关。对这两个模型进行回溯性的变量选择,确定了CN参与者的年龄、APOE ε4状态、和p-tau181水平是独立的 AD病理的预测因子。加上血浆p-tau181水平到参考模型进行预测 AD病理的存在提高了,CI参与者的预测准确率。

3、血浆NfL和p-tau181与淀粉样蛋白病理、神经元损伤和tau过度磷酸化的CSF生物标志物的关联
在整个队列中,血浆NfL和p-tau181水平与所有评估的AD CSF生物标志物和海马体积相关,在CN参与者中,血浆NfL水平与CSF tau和p-tau181水平相关,血浆p-tau181水平与CSF p-tau181水平相关。在CI参与者中,血浆NfL水平与脑脊液tau和海马体积相关,而血浆p-tau181水平与所有AD脑脊液生物标志物相关,而不是海马体的体积。

4、血浆NfL和p-tau181与疾病严重程度进展和认知能力下降的关系
在CN组参与者中,只有NfL血浆水平与CDRSoB的变化相关,而在CI组中,NfL水平与CDRSoB的变化相关,p-tau181水平与CDRSoB和MMSE两者的变化相关。在控制年龄、性别、受教育年限、APOE ε4状态、基线评分和随访时间后; CI参与者中,p-tau181与MMSE变化的相关性仍然显著。将血浆p tau181水平添加到参考模型中,能够改善了CI参与者整体认知能力下降的预测。

结论:
研究发现,与没有AD病理的CN参与者相比,CN认知衰退初期参与者的血浆NfL水平升高。但回归分析发现血浆NfL水平与AD病理之间没有相关性。在伴有AD的CI患者中,血浆p-tau181水平较高。总之,这些结果支持血浆NfL水平是神经退行性变的标记物,但不是AD的特异性标记物,并表明血浆p-tau181水平可用于AD的诊断和记忆临床患者的疾病进展预测。同时发现较高的血浆p-tau181水平与疾病严重程度的更快增加显著相关。
中国汉族人群中HIF1α多态性rs2301104与肥胖及肥胖相关细胞因子相关
免疫十因子现货惊喜价1.6万(包检测)!数量有限,先到先得!
岁末狂欢,钜惠来袭!LabEx全线服务满额送豪礼,精彩享不停!
