6 年
手机商铺
公司新闻/正文
368 人阅读发布时间:2022-11-21 10:46
原发性胆道胆管炎(PBC)是一种原因不明的慢性自身免疫性肝病,以肝内胆管的炎症破坏为特征,疾病可能发展为肝硬化,肝功能衰竭甚至肝癌。目前缺少识别PBC严重性和进展的标志物。CCL11、CCL24和CCL26是嗜酸性粒细胞的强效趋化因子。本研究招募了108名PBC患者、52名慢性乙型肝炎(CHB)患者和50名健康对照(HC),采用多重免疫法检测血清中CCL11、CCL24和CCL26的表达,探究其与PBC的相关性。

本研究采用多因子检测技术之MSD电化学发光检测了PBC患者、慢性乙型肝炎(CHB)患者和50名健康对照血清中CCL11, CCL24 and CCL26的表达量。PBC患者血清三种因子表达量分别平均是264.48 pg/mL,4799.22 pg/ml,32.68 pg/ml都高于CHB患者和正常对照。

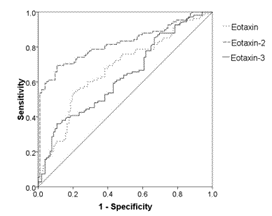
为了探究血清CCL11、CCL24、CCL26对PBC的诊断价值,本研究进行了ROC分析,CCL11、CCL24、CCL26 AUC值分别为0.675、0.82、0.632,结果提示CCL24是诊断PBC最优的标志物。

接下来探索CCL11、CCL24、CCL26和PBC患者临床数据之间的关系,多项单因素分析显示,PBC患者血清CCL11水平与血小板呈正相关,与APRI呈负相关,血清CCL24与ANA和GGT显著相关,血清CCL26与WBC、中性粒细胞、淋巴细胞、血小板呈正相关,与FIB-4、APRI呈负相关。

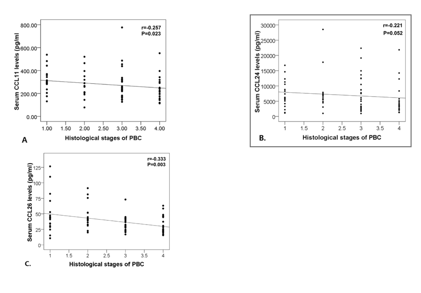
PBC组织学上分为四期:I期:为门管区炎伴有胆小管肉芽肿性破坏;Ⅱ期:为门静脉周围炎伴胆管增生;Ⅲ期:可见纤维间隔和桥接坏死形成;IV期:为肝硬化期。组织学是PBC重要的评价标准,本研究进一步分析了CCL11、CCL24、CCL26与组织学评分的相关性,结果表明血清CCL11和CCL26与PBC的组织学分期呈统计学负相关,血清CCL24无统计学相关性。

综上:在本研究中提示血清CCL11和CCL26在PBC中上调,且与PBC的纤维化进展呈负相关。血清CCL24在PBC中也上调,但与纤维化进展无关。发现三种CCL与PBC患者嗜酸性粒细胞数量无相关性。
LabEx多因子实验服务专家
LabEx 紧跟全球蛋白检测技术前进步伐,与多个前沿平台紧密合作,不断发掘蛋白质定量检测技术的灵敏度和多重分析检测极限,始终致力于为您的研究需要,提供非常好的免疫分析技术与产品。现有全面包含蛋白、基因、细胞、组织水平的 PCR Array、ELISA、MSD、Luminex、CBA、抗体芯片、流式、免疫组化等多个技术平台。通过线下和线上的方式为超过2000家客户提供服务,年检测样本超25万!
★ 检测样本:血清、血浆、眼泪、房水、唾液、体腔灌洗液、细胞培养液上清、细胞裂解物等等各种液相样本中可溶性细胞因子、炎症因子、趋化因子、酶等的浓度检测
★ 肿瘤研究及肿瘤疾病的辅助诊断、疗效和预后监测
★ 干细胞研究和干细胞治疗监测
★ 免疫学研究和免疫疾病的辅助诊断和监控
★ 感染疾病的研究及辅助诊断和疗效评价
★ 免疫功能监测
★ 药效评价,药物研发、疫苗研究
★ 细胞信号传导中磷酸化蛋白、凋亡相关蛋白定量分析
LabEx为您提供完整的实验结果报告,包括数据分析结果,原始数据文件,实验protocol等。

LabEx多因子平台,助力PD -1/PD-L1免疫治疗NSCLC研究