近日,一项发表在《Investigative Ophthalmology & Visual Science》上的重磅研究揭示了口腔病原体牙龈卟啉单胞菌(Porphyromonas gingivalis, PG)与白内障发展的密切关联。

01 研究背景
白内障与牙龈卟啉单胞菌的隐秘关联
白内障是全球致盲的主要原因之一,其发病机制复杂多样,涉及遗传、环境、代谢等多种因素。近年来,科学家们逐渐发现,慢性感染,尤其是牙龈卟啉单胞菌(PG)的感染,可能与白内障的发生和发展存在密切联系。PG是一种与牙周炎相关的革兰氏阴性厌氧菌,它不仅会在口腔中引发炎症,还可能通过多种途径影响全身健康。然而,PG感染与白内障之间的具体关联机制一直未被完全揭示。
02 LabEx助力
精准检测细胞因子,解锁关键线索
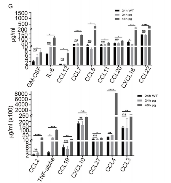
在这项研究中,科学家们利用LabEx公司的多细胞因子检测技术,对感染PG的巨噬细胞(Raw264.7)及其上清液中的细胞因子进行了全面分析。这项技术能够同时检测多达31种小鼠细胞因子,为研究人员提供了一个全面、精准的细胞因子表达谱。通过LabEx的Luminex 200系统(cat.no.LX-MultiD-31),研究人员发现,PG感染的巨噬细胞能够分泌高水平的促凋亡因子和细胞因子,如TNF-α、IL-6、CCL4、CCL-7、CCL-5、MCP-1和MCP-5等。这些因子在诱导氧化应激、细胞凋亡以及上皮-间充质转化(EMT)方面发挥着重要作用,而这些过程正是白内障发展的关键病理机制。
LabEx的多细胞因子检测技术以其高灵敏度、高特异性和高通量的特点,为研究人员提供了一个强大的工具。它不仅能够快速、准确地检测细胞因子的表达水平,还能帮助研究人员深入理解细胞因子之间的相互作用网络。在本研究中,LabEx的技术助力科学家们揭示了PG感染如何通过调节细胞因子的表达,影响晶状体上皮细胞的生理状态,从而促进白内障的发展。
03 科研突破
从实验室到临床的转化潜力
基于LabEx技术提供的数据,研究人员进一步在体外和体内模型中验证了PG感染对白内障发展的促进作用。他们发现,PG感染的巨噬细胞能够迁移到晶状体上皮细胞中,并通过分泌有害因子诱导氧化应激、细胞凋亡和EMT。在大鼠的前囊下白内障(ASC)模型中,PG感染显著加剧了白内障的进展,表现为更大的混浊区域和更严重的纤维化。这些发现不仅为白内障的发病机制提供了新的见解,也为未来的治疗策略提供了潜在的靶点。
乐备实是国内专注于提供高质量蛋白检测以及组学分析服务的实验服务专家,自2018年成立以来,乐备实不断寻求突破,公司的服务技术平台已扩展到单细胞测序、空间多组学、流式检测、超敏电化学发光、Luminex多因子检测、蛋白芯片、抗体芯片、PCR Array、ELISA、Elispot、多色免疫组化等30多个,建立起了一套涵盖基因、蛋白、细胞以及组织水平实验的完整检测体系。
我们可提供从样本运输、储存管理、样本制备、样本检测到检测数据分析的全流程服务。凭借严格的实验室管理流程、标准化实验室操作、原始数据储存体系以及实验项目管理系统,已经为超过3000家客户单位提供服务,年检测样本超过100万,受到了广大客户的信任与支持。



